Atmospheric aerosol is of critical relevance in environment, meteorology and atmospheric fluid dynamics research. Its particle size, morphology, concentration and spatial distribution change greatly, which makes it challenging to quantify. A multi-resolution holographic particle imaging and atmospheric turbulence measurement UAV developed in this paper can realize the high-altitude in-situ characterization of atmospheric particles with a particle size of O(10 0-10 3)µm. The platform integrates UAV technology, multi-resolution digital in-line holographic imaging (optical magnification of 1X and 2X), multi-sensor such as three-dimensional ultrasonic anemometer (sampling frequency 20 Hz). In order to reduce the influence of the UAV rotor wake on the test range, the vertical distance between the UAV wind speed measurement position and the rotor is around 1 m. The UAV platform was first tested systematically on the ground using the UAV wind wall (with a dimension of 3 x 2 m, WindShaper, Switzerland). In the experiment, the influence of rotor suction on three-dimensional anemometer measurement is quantified; The cloud simulated by the atomizer is imaged by digital in-line holography. The results show that the UAV platform is capable of resolving microscopic particles under varying working conditions. The data can be used to obtain the particle size, shape, concentration and spatial distribution through three-dimensional reconstruction. The influence of the rotor on the mean flow measurement is less than 5%. The UAV flight platform will provide technical support for in-situ characterization of particles and flows within atmospheric boundary layer.


Based on the altitude data provided by UAV flight control, we analyzed DIH images, wind speed, temperature, and humidity data at different altitudes during UAV flight, and obtained the three-dimensional spatial distribution of particle flow through post processing.


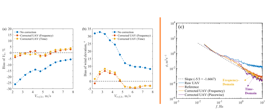
To correct the wind speed measured by the UAV, a UAV calibration experiment is conducted, as illustrated in Figure 5a. Two calibration approaches, namely the time-domain and frequency-domain methods, are employed, as shown in Figures 5b and 5c, respectively. Figures 6a and 6b present the bias in the horizontal wind speed and the bias in the wind elevation angle. The results indicate that both the time-domain and frequency-domain methods achieve good calibration performance. However, the frequency-domain method provides higher accuracy, particularly in the analysis of power spectral density.


Zhang, X., Luo, B., Liu, Y., Li, J., Liang, T., Hong, J., & Li, C. (2025). Development of UAV-based system for simultaneous wind and particle measurements in the atmospheric boundary layer. Experiments in Fluids, 66(7), 139.
Address: 241 Daxue Road, Jinping District, Shantou, Guangdong Province, China
©Guangdong Technion-Israel Institute of Technology 2018
粤ICP备17036470号,版权所有©广东以色列理工学院